1、引言
在現代制造業中,高溫合金憑借其優異的耐高溫及耐腐蝕性能,被廣泛應用于航空、航天、能源及汽車等重要行業。這些應用對材料的性能提出了極高的要求,尤其是在極端工作環境下[1]。在現實生產環節,對高溫合金棒材的微觀組織進行精確調控極為不易,例如在鍛造過程中,GH4169合金中δ相的析出量、形貌和分布很難控制,而其對GH4169合金高溫下的力學性能有很大影響[2]。GH4720Li合金在鍛造棒材成型時,表面會出現裂紋以及粗晶層[3]。由于GH4037合金棒材軋態組織不均勻,棒材表層常常會出現粗大晶粒,造成探傷時出現雜波超標[4]。因此,如何有效地加工和改善高溫合金的微觀組織和機械性能,是材料科學和制造技術研究的重要課題。
徑向鍛造作為一種先進的金屬成型技術,因其高效率、材料利用率高和能顯著改善鍛件的微觀結構而受到工業界的廣泛關注。徑向鍛造起源于1950年,屬于一種獨特的鍛造技術。在鍛造過程中,多對對稱排列的錘頭對坯料進行高頻徑向敲打,坯料的形狀無論是方形還是圓形,都在機械手的夾持下旋轉并軸向移動,從而在多錘頭螺旋式變形下軸向伸長[5]。用于徑向鍛造工藝的機器稱為精鍛機,在國際上被稱作徑向鍛造機。徑向鍛造機集成了液壓傳動、微電子、自動控制、網絡通訊、傳感測試等多項技術,是一種先進的少、無切削加工設備。目前全球主要的徑鍛機制造商有奧地利GFM、德國SMS等幾家公司。中國境內的徑鍛機多從國外進口,比如久立集團引進了一臺SMS18MN的液壓徑鍛機。目前我國蘭石集團成功研發了1.6MN的機械式徑向鍛造機,并構建了一條涵蓋加熱、鍛造、矯直的全自動棒材徑向鍛造生產線。
目前高溫合金棒材常常經過快鍛、徑向鍛造或者“快鍛+徑向鍛造”組合的方式進行制備。自由鍛是從坯料心部向外變形,終鍛溫度低,表面會存在比較嚴重的冷變形組織,而且坯料外緣存在較大的小變形區,表面質量和精度較差。徑向鍛造是從坯料外緣向心部變形,會提高表面質量。此外,徑向鍛機由于鍛打頻率較高(每分鐘最低錘擊頻次是快鍛液壓機的2倍),坯料在形變時產生的熱量足以補償其向環境散失的熱量,使得其在加工過程中溫度波動不大,幾乎等同于恒溫鍛造[7]。因此徑向鍛造更適合窄熱加工溫度區間高溫合金的鍛造。
盡管徑向鍛造技術在實驗和小批量生產中取得了顯著進展,但在工業應用中仍面臨諸多挑戰,例如設備成本高、工藝參數控制復雜等問題。本文旨在綜述徑向鍛造工藝的特點、以及高溫合金在徑向鍛造過程中的組織變化和鍛透性分析。重點分析了高溫合金在徑向鍛造過程中存在的問題,提出可操作的解決方法,為高溫合金的徑向鍛造工藝提供科學指導和技術參考。
2、徑向鍛造工藝簡介
圖1a展示了具備高頻脈沖鍛打與多方向模鍛特性的徑向鍛造裝置,其中高頻脈沖鍛打使得每次形變量較小,導致金屬形變速率較低,金屬流動距離短,摩擦力小,形變趨于均勻(圖1b)。利用多達八個錘頭沿徑向對坯料進行鍛造,使坯料處于三向應力狀態,有助于增強金屬的塑性。因此,徑向鍛造工藝生產的鍛件具有優良的力學性能,內部組織致密,抗拉強度和沖擊韌性優良[8],非常適合制造高溫合金部件。

2.1徑向鍛造特點
徑向鍛造可以從坯料的溫度上分為熱徑鍛、冷徑鍛、溫徑鍛3類,分別指坯料溫度在完全再結晶溫度以上、室溫、室溫以上完全再結晶溫度以下的徑鍛方法[9]。熱徑鍛是高溫合金棒材成型常用的徑鍛方式。
2.1.1徑向鍛造工藝參數
徑向鍛造中比較關鍵的工藝參數影響因素有:旋轉角度、軸向進給量、鍛打頻率、徑向壓下量和鍛造溫度。
(1)旋轉角度:在徑向鍛造過程中,鍛件會隨夾持端的旋轉而轉動,因此旋轉角度即是夾持端的轉動角度。每次錘頭鍛造時,鍛件都會轉動一定角度,因此鍛造出的棒材外緣實際是多邊形。鍛件的多邊形邊數直接受鍛造時的旋轉角度影響,而非鍛件直徑。邊數增加,鍛件形狀更趨向圓形。在徑向鍛造機鍛打次數固定的情況下,可以調整夾持端的旋轉角度。選擇旋轉角度時應在保證產品外表質量的前提下,盡可能采用較高的旋轉角度和較大的軸向進給速度,以提升生產效率[6]。
(2)軸向進給量:軸向進給量定義為單位時間內夾頭軸向移動的距離。雖然可以通過增加軸向進給量來提高生產率,但會減少鍛造過程中的鍛打次數,從而可能導致鍛件表面質量下降。增加軸向進給量會增大塑性變形區,一方面會增大設備負載,另一方面會提升鍛件溫度[10]。
(3)鍛打頻率:鍛打頻率是指單位時間內錘頭對鍛件的鍛打次數,通常以每分鐘的鍛打次數來表示。在徑向鍛造工藝中,鍛打頻率是一個重要參數,直接影響生產效率、鍛件成形質量以及設備負載。常見的徑向鍛造機的鍛打頻率范圍在80~240r/min之間[11]。對于高溫合金鍛件,鍛打頻率通常較低,在80~120r/min之間,以確保鍛件質量。
(4)徑向壓下量:徑向壓下量是指單次鍛打時鍛件徑向尺寸的減少量。在設備承受范圍內,應盡可能增大徑向壓下量,以增強鍛件的鍛透性并提升生產效率。不過,若徑向壓下量和軸向進給量同時過大時,鍛件表面可能會產生螺旋狀褶皺。因此,要根據軸向進給量、旋轉角度等工藝參數,控制合適的徑向壓下量。
(5)鍛造溫度:鍛造溫度直接影響坯料的初始晶粒尺寸,進而影響鍛造過程中鍛件的組織演化。在徑向鍛造時,鍛件熱量的損失主要體現在坯料與外界環境的熱交換以及坯料與錘頭的熱交換。在徑向鍛造過程中,鍛造所需時間較短,而且錘頭與鍛件的接觸時間較短,因此鍛件的溫降小,高速鍛打時鍛件心部溫度會有顯著升高。針對GH4169合金棒材徑向鍛造的研究表明,晶粒尺寸主要受始鍛溫度影響,而δ相的析出形態與數量則受終鍛溫度的影響,以上最終會影響成品棒材的組織和性能[12]。
2.1.2徑向鍛造工藝參數
徑向鍛造設備的錘頭一般安裝2個或4個。兩錘頭徑向鍛造機與傳統的快鍛機非常相似,因為都使用了兩個錘頭。然而,徑向鍛造機與傳統的快鍛機相比,具有更高的壓下速率[13-14]。雙錘頭徑向鍛造機如圖2a所示[15],經過適當的改造,該機器還可以使用四個錘頭。錘頭安裝在通過偏心凸輪由單一驅動軸驅動的搖臂上。在工件變形后,錘頭通過彈簧復位。通過調整螺紋套管,可以控制錘頭之間的距離以及工件在軸向上的進給。由于錘頭的快速沖擊,錘頭內部會產生大量熱量。為了避免過熱,錘頭采用了水冷系統。一般來說,四錘頭徑向鍛造機比兩錘頭徑向鍛造機更常用,如圖2b所示[16]。四錘頭徑向鍛造機的一個主要優點是可以在一個道次中生產方形和圓形工件,而兩錘頭徑向鍛造機通常需要進行多道次加工[17]。總體上,四錘頭鍛造機比兩錘頭鍛造機更復雜且成本更高[18]。
根據驅動方式,徑向鍛造設備可分為三大類:機械驅動、液壓驅動以及機液混合驅動(圖2)。在機械驅動方式的錘頭結構中,偏心軸驅動滑塊機構,將旋轉運動轉換為直線運動,蝸輪蝸桿驅動的調節螺紋將這一運動傳遞至錘頭。為確保錘頭的同步運動,采用了一個齒輪系統來驅動四個偏心軸,該系統使得鍛錘的行程位置能夠通過四組蝸輪蝸桿實現同步或成對調節,以適應不同形狀的工件,如圖2c所示[16]。GFM公司開發的SX系列和SKK系列徑向鍛造機是此類設備的典型代表。
圖2d展示了液壓驅動的原理,即通過液壓缸推動活塞,進而帶動錘桿,實現錘頭的往返運動[16]。全液壓驅動的徑向鍛造機與機械驅動有所不同,它能根據錘頭的下壓量和負載情況,自動進行鍛造速度和打擊頻率的無級調節。因為這些材料在變形過程中會產生顯著的溫升效應,這種特性特別適用于高溫合金材料的鍛造。通過控制變形速度和頻次,可以避免過熱或過度降溫,從而保持在理想的變形溫度區間內。錘頭和模具直接連接在液壓驅動的部件上,使得變形量和變形速率能夠得到精確控制。典型的如SMS Meer公司研發的SMX系列徑向鍛造機、SMI系列徑向鍛造機。
圖2e為機液混合式驅動的錘頭設備,安裝在八角形機架上的四個偏心軸,是錘頭驅動力的主要來源。這些偏心軸由鍛造箱內部的同步齒輪系統驅動。通過調整與偏心軸相連的液壓墊的體積來控制錘頭的行程位置。液壓墊不僅負責行程的調節,還提供了過載保護,并能實時監測鍛造力。由于液壓墊體積小巧,使得鍛造機的整體結構設計得非常緊湊[19]。該設備的鍛打頻率由偏心軸的驅動系統來決定。此類設備的典型代表如GFM公司研發的RF系列徑向鍛造機。

3、徑向鍛造過程中的組織演變
3.1加工硬化和回復
加工硬化和回復是溫鍛過程中與晶粒組織變化相關的兩個重要過程[20]。加工硬化現象發生在鍛造變形過程中,主要表現為材料形變增大、材料強度增加,而塑性下降。材料中位錯密度的增加是加工硬化的重要因素,在塑性變形過程中,位錯數量持續上升并相互纏繞,最終形成密集的位錯結構(位錯墻)。材料中的這些位錯,經過位錯增殖機制,逐漸形成密集的位錯結構,最終導致材料強度的顯著增加。在正常狀態下,典型的位錯密度約為10^11m^-2,而在變形加工后則顯著增大到約10^16m^-2。回復和再結晶過程是影響鍛件微觀結構的關鍵因素,均受到加工硬化過程的影響[21]。在金屬變形過程中,部分形變功被吸收,導致內能升高,結構缺陷增多。當材料重新被加熱時將經歷回復過程,此過程會降低位錯密度,從而形成更穩定的晶格結構。
采用約化溫度T=T/T_m(T為材料溫度,T_m為材料熔點)進行溫度區間的劃分,主要分為3個區間:0.1<T<0.3為低溫回復區間,點缺陷快速運動并且消失;0.3<T<0.5為中溫回復區間,隨著溫度的提升,原子的活動能力加強,位錯可能會發生滑移或交滑移,從而形成亞晶結構,導致位錯密度降低;T>0.5為高溫回復區間,由于原子活動能力持續增強,位錯可能發生攀移和多邊化等過程[22]。回復發生的程度與應變、溫度和時間相關,通常隨著變形的增加、溫度的升高和時間的延長,材料的回復程度增加。此外,回復與材料的堆垛層錯能有關,它代表材料內發生層錯所需的能量,位錯的滑移、攀移和交滑移將會受到層錯的阻礙,進而阻礙回復過程的發生,因而材料的堆垛層錯能越低(如鎳基高溫合金),越易發生回復;反之則材料的回復越難發生,繼而材料中的位錯密度會更高,亞晶結構相應地會較少。
3.2再結晶
高溫合金在熱變形過程中,主要依賴再結晶機制來實現晶粒的細化。當合金在塑性變形中累計的位錯密度達到一個臨界水平時,變形晶粒內部將形成細小且無明顯缺陷的再結晶核心。這些核心在適宜的熱變形條件下,能夠吸收周圍的變形晶粒逐漸長大,從而促進晶粒細化。再結晶行為主要包括動態再結晶(DRX)、亞動態再結晶(MDRX)、靜態再結晶3種(SRX)[23]。其中MDRX和SRX又稱為后動態再結晶[24]。
DRX指材料在熱變形過程中發生的再結晶現象,也是徑鍛過程中晶粒細化非常重要的一部分。動態再結晶過程涉及兩個階段,即形核階段和隨后的長大階段,新晶粒的產生會使材料的晶粒細化,從而提升零件的綜合力學性能,根據本課題組研究,GH4169的動態再結晶形貌如圖3所示。根據形成機制的不同,DRX可分為3類:不連續動態再結晶(DDRX)、連續動態再結晶(CDRX)以及幾何動態再結晶(GDRX),具體分類如圖4所示[25]。在鎳基高溫合金中,再結晶機制以DDRX為主,CDRX為輔[26]。不過也有學者發現,這3種類型的動態再結晶沒有嚴格的分界線,極有可能同時發生[27]。


1950年,Beck等人[28]首次觀察到了不連續動態再結晶現象。材料變形過程中,各晶粒的變形量有異,變形量大的晶粒,其內部儲存的能量較高;變形量小的晶粒內的儲存能較小。為了減少晶粒內部的形變儲能,晶界會從形變儲能低的晶粒向高的晶粒推移,進而實現材料能量的降低。非連續動態再結晶主要以晶界凸出的方式形核,在晶界遷移的過程中晶界掃過的區域位錯密度會變為0,如果滿足形核條件,晶界移動掃過的區域出現再結晶形核,在金相組織中表現為項鏈狀態的組織[29]。不連續動態再結晶現象具有易于觀察的長大過程。通常的動態再結晶過程如不進行特殊說明,即指不連續動態再結晶現象,這也是相關研究最多的一種動態再結晶形式。根據Azarbarmas研究發現,GH4169合金在不同溫度不同應變速率下的再結晶機制,低溫高應變速率時CDRX成為再結晶的主導,高溫低應變速率時DDRX為主要的再結晶機制[30]。
連續動態再結晶主要是出現在變形程度較大,并且內部具有較高層錯能的高溫合金中,容易出現在具有高位錯密度的三叉晶界處。連續動態再結晶主要以亞晶粒的合并形核以及長大的方式進行,形成過程如圖5所示[31]。在外力作用下,晶界內部首先產生亞晶界,隨后亞晶界隨著位錯數量的增多會將位錯吸收,導致亞晶界角度增大,最終這些亞晶界轉化為大角度晶界,從而形成再結晶的晶粒。轉變過程會降低材料內部的變形能和位錯密度,而且通過再結晶,也能形成均勻分布的細小再結晶組織,改善材料性能。Zhang等人[32]發現在較小的應變和較低的變形溫度容易發生CDRX。Lin等人[33]認為CDRX發生在中等應變情況下,同時在較低的溫度下也容易發生CDRX。

幾何動態再結晶現象也與亞晶界和亞晶結構的轉變相關,而其與DDRX的主要區別在于幾何動態再結晶現象針對變形量極大的情況,在此種情況下晶粒在某一方向發生極大的變形,隨著變形量的增大,原有晶界不斷靠近,但亞晶結構幾乎不發生變化。隨著變形量的逐漸增加,原有晶界發生碰撞和合并而導致亞晶結構轉變為新的晶粒,進而產生再結晶現象[34]。
通常材料在變形結束后的多道次保溫過程中組織會發生進一步的演變,會發生后動態再結晶,如圖6所示[23]。MDRX指DRX過程產生的再結晶晶核在變形后未發生長大的情況下,若材料的溫度低于臨界溫度,這些再結晶晶核會直接發生長大過程并形成較高的形變層狀晶粒組織。當材料在變形過程中的變形量小于此臨界應變量,但變形后的儲能大到足以在加熱條件下驅動再結晶過程時,就會在材料中發生SRX現象,圖7為靜態再結晶組織示意圖[35]。


3.3晶粒長大
晶粒長大過程是材料組織演化中的重要過程,其直接影響材料最終的晶粒尺寸。其機理是在一定的溫度條件下,材料中組織的晶界能可能處于不穩定的狀態,此時為降低局部能以達到更穩定的組織結構,材料中的晶界將會發生遷移和合并,以減少材料中晶界的總面積,相應地就會存在晶粒的增大、收縮與合并過程,其對于材料組織變化的反應就會是晶粒長大過程。根據課題組的研究,圖8為鍛態GH4169合金在不同溫度下經過不同保溫時間后的晶粒尺寸變化趨勢。
晶粒長大過程在材料的各個熱變形過程中均會發生,包括鍛制時的熱狀態,變形過程和變形后材料仍處于較高溫度的一段過程。晶粒長大過程主要受到溫度、固溶元素、第二相顆粒和織構的影響,溫度是其中最重要的影響因素[37]。其通過影響晶界的遷移驅動力和速度對晶粒長大存在明顯的影響,溫度升高會明顯促進晶粒的長大過程。固溶元素和第二相顆粒對晶粒長大的影響主要源于其妨礙晶界遷移的釘扎效應,其具體影響與固溶元素和第二相顆粒的含量、類型、尺寸和分布等緊密相關,影響較為復雜。此外,若晶界遷移的驅動力未突破釘扎效應的阻礙,晶粒的長大速度將較為緩慢,之后逐漸達到一種穩定尺寸;釘扎效應導致晶界的再分布和析出過程,因此第二相粒子的存在將對晶粒長大有重要影響。由于第二相粒子將在長大過程中發生消耗和Ostwald熟化過程,釘扎效應將減弱,而若晶粒長大的驅動力突然增加了釘扎效應的阻礙,則晶粒將發生較為快速的長大,這稱為奧氏體晶粒的粗化現象。晶粒生長過程中,織構的存在亦起到阻礙作用,原因在于織構較多的材料里,低能量的小角度晶界(亞晶界)較多,這些晶界會增大晶粒長大所需要的驅動力[38]。

4、徑向鍛造過程中的鍛透性分析
在鍛造過程中,坯料縱截面上塑性變形能達到的深度被稱為鍛透性。為了對鍛透性進行量化分析,確立了鍛透性的標準:若坯料心部的等效應變值超過0.2,判定為完全鍛透(即鍛透性達到100%)[39]。鑄態材料通常含有缺陷(內部空洞、疏松和夾雜等),這些缺陷使得以鑄態材料生產的產品無法滿足力學性能的要求。徑鍛開坯可以消除金屬在熔煉時產生的疏松縮孔等缺陷,并改善微觀組織結構。由于徑鍛開坯可以較為完整地保存金屬流線,因此開坯后材料的力學性能通常高于鑄態材料,生產的產品也具備更優的力學性能和更長的使用壽命。晶粒組織的變形以及熱激活狀態下的動態再結晶和晶粒生長過程是鑄錠開坯的本質。通過再結晶過程,鑄錠可形成細小晶粒,從而獲得加工性能良好的坯料,為后續加工提供便利[40]。
4.1經驗三角形法
德國人最早根據經典理論提出了GFM精鍛機的鍛透性概念,該概念以錘頭與坯料的接觸長度作為底邊,形成一個等腰直角三角形,據此三角形的深度來判定鍛透性(圖 9)[15]。圖 9中, D為坯料的原始直徑; A、 B、 C(等腰直角三角形頂點):AC代表錘頭與坯料在鍛造過程中的接觸長度(作為三角形的底邊)。根據 GFM經典理論,以AC為底邊構造等腰直角三角形,頂點 B所在的深度被判定為該狀態下的最大鍛透深度。

式中: E為鍛透深度(mm); h為單邊壓入量 (mm); α為錘頭斜面與坯料的夾角 ( °)。

在后續的研究中,徐方等人[41]將原本用于預測徑向鍛造過程中圓柱坯料的鍛透性三角形法則擴展至矩形截面件,并對其進行了相應的修正,提出了一種新的鍛透性計算模型。欒謙聰等人[42]基于經驗三角形公式,推導出了計算鍛透性的新公式,即式(2),并采用MSC.Marc/Mentat有限元軟件,從等效塑性應變和軸向應力分布的角度對徑向鍛造的鍛透性進行了深入探討。

式中: η fg 為鍛透率; η z 為送進率; η rs 為半徑比; β為錘頭斜面與坯料之間的銳角角度。
4.2解析法
20世紀 70年代, Lahoti與 Altan[43]利用主應力法,構建了軸對稱模型來分析管材的徑鍛工藝。該模型通過將管材內徑設為零,進而推廣到實心棒材的徑向鍛造分析。圖 10[44]展示了管材在徑向鍛造過程中的變形區域被劃分的 3個部分:縮徑區(sinking zone)、鍛造區(forging zone)和整形區(sizing zone),并在各個區域構建了簡化的力學平衡方程。假設分流面位于鍛造區,由于其兩側金屬的軸向流動方向相反,摩擦力方向也是相反的,從而分別得到鍛造區內分流面兩側的徑向壓應力分布。再基于分流點處徑向壓應力的連續性,建立了一個以分流面位置為未知數的非線性代數方程。通過求解這個方程,最終揭示了變形區內徑向壓應力分布與工藝參數(例如徑向壓下量、軸向進給速度、摩擦因子等)以及錘頭結構參數(如錐角、整形區長度等)之間的關系。通過對各區域的壓應力進行積分,便能夠計算出徑向載荷。

Yang[45]提出了一種數值方法,將滑移線場理論與上限定理相結合,并采用非線性優化技術進行計算,探討了應力場、心部開裂的原因以及工件內部的鍛透情況,提出了鍛透性的概念并據此確定了合適的工藝參數。王振范等人[46]運用流函數法對 GFM的鍛透性進行了研究,通過流函數分析了進給量、錘頭尺寸和形狀等因素對鍛透性的影響。密柵云紋法(簡稱云紋法)是一種實驗解析技術,其原理是將試樣柵粘貼在試樣上并一同經歷變形,隨后與基準柵重疊,利用重疊產生的云紋特征并結合塑性理論確定變形瞬間試樣的應力-應變狀態[47]。
4.3有限元分析法
隨著計算機技術的進步,有限元分析技術在工業領域得到廣泛應用。在徑向鍛造研究中,國內外學者普遍采用數值模擬的手段來探究不同工藝條件下應力、應變應變率、溫度等場變量的分布規律[48]。基于分析維度的差異,現有的徑向鍛造有限元模型可分為軸對稱模型和三維模型兩大類。若忽略坯料的旋轉及鄰近錘頭間的間隙,徑向鍛造過程可被簡化為軸對稱模型,從而顯著降低模擬的復雜性。在徑向鍛造過程中,需要建立應力-應變本構模型以及晶粒組織演化模型對材料的鍛造過程中的結果進行分析。
4.3.1材料應力-應變本構模型
為實現鍛造過程及其過程中的晶粒演化過程的模擬,首先需要建立材料在變形過程中的應力-應變本構模型,接著實現工作成形過程的有限元模型建立和計算,再結合材料變形過程中的晶粒演化規律,建立鍛造過程中的晶粒模型,實現對工作成形過程及其組織的模擬[49-50]。目前研究中應用的材料本構模型大體可以分為:唯象模型、基于物理意義的模型以及人工神經網絡模型。
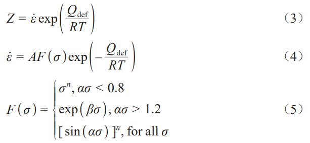
目前唯象模型得到了最為廣泛的應用。典型的唯象本構模型包括 Johnson-Cook模型[51]、Arrhenius模型[52]、Fields-Backofen模型以及神經網絡模型[53]等。在Arrhenius模型中,考慮了溫度和應變率等因素對材料流變應力的影響,并基于變形激活能理論,在鍛造過程模擬中應用相對較多。Arrhenius本構模型考慮溫度和應變率與材料流變應力關系,在熱變形過程的研究中,該材料模型尤其適用于高溫條件,因而成為應用最為廣泛的模型。其典型形式如公式(3)~(5)所示。

其中, σ為應力, n為應力指數,通過實驗數據擬合得到。Z為 Zener-Hollomon參數,該參數由 Zener和 Hollomon[52]于 1944年提出,也是 Arrhenius本構模型的基礎。其影響項包含應變速率 ε ˙、變形激活能 Q def 和溫度 T, R為氣體常數。方程中 A、 α、 β和 Q def 是通過擬合獲得的參數, α = n β 其結果方程的兩種表示形式如式(6)~(7)所示。

基本的 Arrhenius方程中未考慮應變率對材料流變應力的影響,這是其最大的問題。為填補此缺陷, Lin等人[54]將 Arrhenius方程中的 Q、 n、 ln A等參數引入關于應變量的五次多項式函數。此種修正后的 Arrhenius方程能適用于不同變形情況下的流變應力模擬,且具有較高的精度。
物理意義的材料本構模型是根據實際發生的物理過程的物理意義,從物理意義出發并完成對材料應力應變特性的闡明。此類模型的優點在于從理論出發,其處理過程和結果易于解釋,其缺點則在于其對理論的闡釋往往較為復雜,且易存在缺陷,較難與實際結果相匹配。
基于物理意義的流動應力模型較為典型的包括 Lin等人的模型[55]、 ZA模型[56]、 PTW模型[57]等,其中, Lin等人[55]提出的模型在材料熱變形過程中還特別考慮了動態回復和動態再結晶現象對材料流變應力的影響。在構建初始塑性模型的過程中,將整個變形過程細分為 4個不同的階段:加工硬化階段、過渡階段、軟化階段和穩態階段。結合 4個階段的機理對其過程中材料的流變應力進行計算,最終分別給出僅發生動態回復和同時發生動態回復和動態再結晶情況下材料的本構方程,如公式(8)、(9)所示[58]。僅發生動態回復條件下,方程(8)中 σ 0 為材料的屈服應力, σ DRV 為材料軟化過程僅存在動態回復過程時最終達到的穩態流變應力,通常可以通過外推方法獲得, Ω為材料位錯密度隨應變演化規律方程中的代表軟化作用的系數。當同時發生動態回復和動態再結晶時,方程(9)中 K d 、n d 是需要擬合的參數; σ p 為峰值應力, σ DRX 為材料發生動態再結晶情況下最終達到的穩態流動應力, ε c 為動態再結晶的臨界應變量。

4.3.2晶粒組織演化模型
為實現對于鍛造過程組織的預測和控制,需要對鍛造過程中晶粒組織演化過程進行精確、可靠的模擬。鍛造過程中可能發生晶粒長大、加工硬化及回復、動態再結晶、亞動態再結晶和靜態再結晶等過程。在這些過程中均可能發生組織變化,且亞動態再結晶由于與動態再結晶分開研究的難度大,而未對其進行考慮;靜態再結晶過程時間較短(通常為數秒),而認為其影響相較于動態再結晶可以忽略。晶粒長大、加工硬化及回復、動態再結晶是鍛造過程中主要需要考慮的 3種機制。
晶粒長大過程的經典方程由 Sellars等人[59]于1979年在其對熱軋過程中材料的再結晶和晶粒長大的研究中提出,實驗結果顯示,在晶粒長大過程中晶粒的尺寸變化與初始晶粒度(d_0)、時間(t)、激活能(Q_{gg})、溫度(T)相關,推導出的方程形式如方程(10)所示。

其中 m、 C為材料影響因子。該模型作為晶粒長大過程典型的宏觀模型,得到了廣泛的應用與研究。
加工硬化和回復過程的經典模型由 Mecking和Kocks[60]提出,該模型可被劃分為兩個主要部分:一部分是描述流變應力與位錯密度之間關系,另一部分則是描述位錯密度隨時間的演化。對于流變應力與位錯密度之間的關系模型,通常有方程(11)所示的模型。

其中, σ為流變應力, α為位錯密度為 0時材料的初始流變應力, μ為材料的剪切模量, b為材料的伯氏矢量, ρ為材料常數。
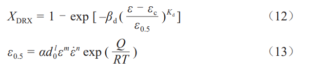
動態再結晶模型基本上可以劃分為兩大類:一類是宏觀尺度模型,另一類是微觀尺度模型。宏觀尺度模型主要基于實驗數據,考慮了熱變形過程中溫度、應變率、應變量以及初始晶粒尺寸等因素對動態再結晶的影響,提出經驗性的方程并通過擬合的方式獲得相關參數,實現對于動態再結晶過程的模擬[61]。目前應用最為廣泛的是 Johnson-Mehl-Avrami-Kolmogorov(JMAK)模型[62],其模型在提出時是用于處理靜態再結晶情況的,后續研究中將其應用于動態再結晶過程中,也對其再結晶比率和穩態晶粒尺寸的模擬上達到了較高的精度。JMAK模型考慮溫度、應變率、應變量、初始晶粒尺寸等因素對動態再結晶過程的影響,其方程分為再結晶比率模擬部分和動態晶粒尺寸模擬部分,典型模型分別如方程(12)和(13)所示。

其中, X DRX 為動態再結晶發生的比率; K d 和 β d 為擬合參數; ε c 為發生動態再結晶所需的臨界應變量, ε 0.5 是動態再結晶比率達到 50%的應變量,這兩個應變量在處理時也通常認為方程(14)的形式。 d 0 為初始晶粒尺寸; ε為應變速率; ε為應變量; d DRX 為動態再結晶晶粒尺寸;指數 l、 m和 n是通過實驗擬合獲得的參數。JMAK模型對動態再結晶過程的模擬精度較高,其存在的主要問題在于其物理解釋較為薄弱。

微觀模型基于動態再結晶過程的物理意義進行建模,在模型方程的處理上一般將不連續動態再結晶過程分為加工硬化、回復、動態再結晶形核與長大幾部分,再對每一部分提出對應的模型方程,整體求解得出晶粒組織的演化過程。不同微觀模型應用的晶粒組織演化的建模方法較為接近,但其求解方法則存在較大差異。
目前針對鍛造過程常用的數值模擬軟件主要包含Deform、Abaqus、Marc、Ansys等[63-66],其中 Deform軟件是專門針對鍛造過程模擬設計的數值模擬軟件,其四面體網格生成能力、網格重劃分能力均強,尤其適用于對鍛造這類大變形量的過程;應用于鍛造模擬具有功能強大、便捷等優點;Abaqus、Marc、Ansys則是功能覆蓋面廣泛的有限元軟件,作為通用軟件其適用性較強,求解算法更為優秀,且在調整適當的情況下也能夠實現鍛造過程的模擬。根據實際情況,以上的4種模擬軟件均能夠適用于鍛造過程的模擬,通過二次開發,輸入材料相應的本構模型和晶粒組織演化模型,即可對徑鍛過程中的應力應變變化情況和晶粒組織變化情況進行模擬。
有限元法相較于傳統的解析方法能夠處理更為復雜的問題,并且能夠提供更精確和詳細的后處理結果。然而,由于徑向鍛造涉及大量計算,多道次全過程模擬的效率較低。此外,有限元模擬是一種正向分析方法,基于已知的工藝參數來評估性能指標,然而徑向鍛造工藝設計是一個逆向問題,需要在滿足評估指標約束的前提下,從未知的參數空間中尋找最優解決方案。綜上所述,有限元模型并不能直接應用于徑向鍛造工藝的設計,需要先利用有限元計算的結果,通過響應曲面方法、人工神經網絡等[67-68]技術構建代理模型,進而將該代理模型作為優化算法的目標函數進行后續的工藝設計優化。
5、總結與展望
作為航空發動機中各類高溫部件的關鍵材料,高溫合金在國家發展中扮演著不可或缺的角色,屬于極其重要的材料。然而,在實際生產中控制高溫合金的微觀組織非常困難。徑向鍛造作為一種高效先進的金屬成型技術,以其高頻脈沖鍛打、多向模鍛的特點,在改善材料微觀組織、提高力學性能和材料利用率方面表現出色。本文結合國內外在徑向鍛造技術領域的發展動態,探討了包括徑向鍛造設備、工藝、組織演變以及鍛透性分析等在內的關鍵核心技術,并分析了徑向鍛造工藝與傳統自由鍛工藝相比,加工各類材料和產品的顯著優勢,并對徑向鍛造工藝的研究方法進行了簡要的闡述。
1)技術進展與產業應用:徑向鍛造作為一種先進的金屬成形技術,在改善高溫合金的微觀組織、力學性能和材料利用率方面展現出顯著優勢。盡管該技術在國內已有較大應用,但大部分徑向鍛造設備仍依賴進口,國內自主研發的力度仍需加強,以滿足各領域日益增長的需求。
2)工藝優化面臨的挑戰:徑向鍛造過程涉及回復、加工硬化、再結晶和晶粒長大等復雜現象。現有的經驗三角形法和解析法主要基于理想情況,未充分考慮實際工況及材料屬性。盡管有限元分析能夠提供較為精確的模擬,但仍需加強基于物理意義的模型研究,以更好地理解和控制材料在鍛造過程中的組織與性能變化。
3)未來發展方向:為確保徑向鍛造技術的持續進步,學術界與工業界需密切合作。應重點加強理論研究,推動國內徑向鍛造設備的研發,并優化工藝參數,以提升高溫合金的性能,支持我國制造業的升級。通過不斷的技術創新與產業化推進,徑向鍛造技術將在高性能合金生產、降低生產成本、滿足高端制造需求等方面發揮重要作用,助力我國制造業的轉型升級和國際競爭力提升。
參考文獻
[1]Yao Kaijun(姚凱俊),Yao Zhihao(姚志浩),Wang Qiang(王強)et al.Rare Metal Materials and Engineering(稀有金屬材料與工程)[J],2022,51(11):4347
[2] Gao Wen(高雯), Li Lin(李麟).Heat Treatment(熱處理)[J],2018,33(4):24
[3] Yu Teng(于騰), Wu Guilin(吳貴林), Kan Zhi(闞志) et al.Proceedings of the 13th China Superalloy Annual Conference(第十三屆中國高溫合金年會論文集)[C].Beijing:Metallurgical Industry Press, 2015: 12
[4] Dong Jian(董健),Liu Ning(劉寧),Zhu Baoming(朱寶明)et al.High Temperature Structural Materials for Power and Energy Applications-Proceedings of the 11th China Superalloy Annual Conference(動力與能源用高溫結構材料-第十一屆中國高溫合金年會論文集)[C]. Beijing: Metallurgical Industry Press,2007:687
[5] Ma Pengju(馬鵬舉),Lan Xiaolong(蘭小龍),Wang Wenjie(王文杰)et al. Forging& Stamping Technology(鍛壓技術)[J],2022,47(11):1
[6]Yang Zhen(楊震),Wang Bingzheng(王炳正),Song Daochun(宋道春) et al. China Metalforming Equipment& Manufacturing Technology(鍛壓裝備與制造技術)[J],2018,53(6):27
[7] Huang Yulong(黃玉玲), Jiang Feng(姜峰). China Metalforming Equipment& Manufacturing Technology(鍛壓裝備與制造技術)[J],2023,58(3):41
[8] Zou J F, Ma L F, Zhu Y C et al. Journal of Materials Science&Technology[J],2024,170:65
[9] Kumar A, Kulkarni R R, Ohdar R. Materials Today: Proceedings[J],2023,3:448
[10] Lahoti G D, Liuzzi L, Altan T. Journal of Mechanical Working Technology[J], 1977, 1(1):99
[11] Wei Xing(衛星).Shanghai Metals(上海金屬)[J],2006(2):25
[12] Liu Fengjun(劉豐軍),Chen Guosheng(陳國勝),Wang Qingzeng(王慶增)et al.Baosteel Technology(寶鋼技術)[J],2011(4):27
[13] Zhang Hongkui(張洪奎),Chen Xinjian(陳新建),Wang Wenge(王文革)et al. Baosteel Technology(寶鋼技術)[J],2005(5):15
[14] Zhang W C, Li Z X, Hu B et al. Materialia[J], 2024, 34: 102073
[15] Domblesky J P, Shivpuri R, Altan T. A Review of Radial Forging Technology Including Preform Design for Process Optimization[M]. Columbus: The Ohio State University,1994,770
[16] Yang Hua(楊華),Gao Junfeng(高俊峰),He Qigong(何琪功)et al. Forging& Stamping Technology(鍛壓技術)[J], 2021,46(6):16
[17] Han J C, Zhang X L, Cao S Z et al. Materials Science and Engineering A[J],2024,903:146648
[18] Su Zhenhua(蘇振華),Zhang Yingjie(張營杰),Feng Dongxiao(馮東曉)et al.Heavy Machinery(重型機械)[J],2020(3):44
[19] Song Tao(宋濤),Zhao Shengdun(趙升噸),Liu Hongbao(劉洪寶).Heavy Machinery(重型機械)[J],2012(3):11
[20]Xu Haipeng(許海鵬),He Huan(何歡).China Concrete(混凝土世界)[J],2022(6):38
[21] Humphreys F J, Hatherly M. Recrystallization and Related Annealing Phenomena[M]. Amsterdam: Elsevier,2017
[22] Li Jun(李軍),Zhao Yu(趙宇),Yu Xiaojun(喻曉軍).The 13th China Academic Annual Proceedings of Electrical Steel(2015第十三屆中國電工鋼學術年會論文集)[C].Jinan:Electrical Steel Branch of the Chinese Society for Metals, 2015: 5
[23] Sakai T, Belyakov A, Kaibyshev R et al. Progress in Materials Science[J],2014,60:130
[24] Lin Y C, Chen X M. Materials& Design[J],2011,32(4):1733
[25] Tian Haotian(田昊天), Tian Xiao(田笑),Chen Fei(陳飛).Die and Mould Technology(模具技術)[J],2023(2):1
[26] Wang Chengyu(王成宇),An Teng(安騰),Xie Xingfei(謝興飛)et al. Heat Treatment of Metals(金屬熱處理)[J],2024,49(4):88
[27] Huang K, Logé R E. Materials& Design[J], 2016, 111: 548
[28] Beck P A, Sperry P R. Journal of Applied Physics[J], 1950,21(2):150
[29] Mao Yizhe(毛軼哲), Li Jianguo(李建國), Li Cong(李聰) et al.Rare Metal Materials and Engineering(稀有金屬材料與工程)[J],2019,48(9):2729
[30] Azarbarmas M, Aghaie-Khafri M, Cabrera J M et al. Materials Science and Engineering A[J], 2016, 678: 137
[31] Chen F, Tian X, Wu G S et al. International Journal of[J],2022,156:103372
[32] Zhang H B, Zhang K F, Jiang S S et al. Journal of Alloys and Compounds[J],2015,623:374
[33] Lin Y C, Wu X Y, Chen X M et al. Journal of Alloys and Compounds[J],2015,640:101
[34] Xie B C, Yu H, Sheng T et al. Journal of Alloys and Compounds[J],2019,803:16
[35] Li Mengfei(李夢飛),Zhang Liwen(張立文),Zhang Chi(張馳)et al. Transactions of Materials and Heat Treatment(材料熱處理學報)[J],2016,37(10):192
[36]Lv Huyuan(呂胡緣),Hu Li(胡勵),Shi Laixin(時來鑫)et al.Transactions of Materials and Heat Treatment(材料熱處理學報)[J],2021,42(2):1
[37] Kang S L, Fisher J G. Open Ceramics[J], 2023, 16: 100484
[38] Jiang H, Wang Y F, Dong P et al. Journal of Materials Research and Technology[J],2024,30:5258
[39] Fan Jiaxin(范佳鑫), Zhu Yanchun(朱艷春). Hot Working Technology(熱加工工藝)[J],2022,51(5):6
[40]Zhao Mingjie(趙明杰),Huang Liang(黃亮),Li Jianjun(李建軍) et al. Forging& Stamping Technology(鍛壓技術)[J], 2020,45(9):1
[41]Xu Fang(徐方),Dong Xianghuai(董湘懷),Wang Xinbao(王新寶)et al. Forging& Stamping Technology(鍛壓技術)[J],2019,44(4):1
[42] Luan Qiancong(欒謙聰), Dong Xianghuai(董湘懷), Wu Yunjian(吳云劍).China Mechanical Engineering(中國機械工程)[J],2014,25(22):3098
[43] Lahoti G D, Altan T. Journal of Manufacturing Science and Engineering[J], 1976, 98(1): 265
[44] Afrasiab H, Hamzekolaei M G, Hassani A. Applied Mathematical Modelling[J],2022,102:811
[45] Yang S Y. Journal of Materials Processing Technology[J], 1991,28(3):307
[46] Wang Zhenfan(王振范),Hu Zongshi(胡宗式). Journal of Northeastern University(東北大學學報)[J],1994,15(1):35
[47] Lin Zhiping(林治平),Hua Jiang(花江),Wen Tao(文濤).Die and Mould Technology(模具技術)[J],1986(4):1
[48] Li Tianrui(李天瑞),Yang Yong(楊永),Shen Xiaohui(沈曉輝)et al.Rare Metal Materials and Engineering(稀有金屬材料與工程)[J],2024,53(12):3503
[49]Zhang Bing(張兵),Yue Lei(岳磊),Chen Hanfeng(陳韓峰)et al. Rare Metal Materials and Engineering(稀有金屬材料與工程)[J],2021,50(1):212
[50] Liu S, Feng J, Luo X et al. Rare Metal Materials and Engineering[J],2022,51(8):2850
[51] Johnson G R, Cook W H. Engineering Fracture Mechanics[J],1983,21:541
[52] Zener C, Hollomon J H. Journal of Applied Physics[J], 1944,15(1):22
[53]He Yong(何勇),Zhang Honggang(張紅鋼),Liu Xuefeng(劉雪峰)et al.Rare Metal Materials and Engineering(稀有金屬材料與工程)[J],2008,37(1):19
[54] Lin Y C, Chen M S, Zhong J. Computational Materials Science[J],2008,42(3):470
[55] Lin Y C, Chen M S, Zhong J. Mechanics Research Communications[J],2008,35(3):142
[56] Zerilli F J. Metallurgical and Materials Transactions A[J], 2004,35(9):2547
[57] Preston D L, Tonks D L, Wallace D C. Journal of Applied Physics[J],2003,93(1):211
[58] Li Q, Jin Z Y. Rare Metal Materials and Engineering[J], 2021,50(11):3924
[59] Sellars C M, Whiteman C M. Metal Science[J], 1979, 13: 187
[60] Mecking H, Kocks U F. Acta Metallurgica[J], 1981,29(11):1865
[61] Hou W, Wang X M, Du P N et al. Journal of Nuclear Materials[J],2024,593:155001
[62] Kim S I, Yoo Y C. Materials Science and Engineering A[J],2001,311(1-2):108
[63] Kukuryk M. International Journal of Material Forming[J],2024,17(1):3
[64] Park J, Kim Y, Jeong H et al. Journal of Materials Research and Technology[J],2023,26:5576
[65] Youssef O, Boz C, Esat V. Machine Tools[M]. Boca Raton:Chemical Rubber Company Press,2023: 137
[66] Shen B T, Xu W B, Wang J et al. Soil Dynamics and Earthquake Engineering[J],2024,177:108410
[67] Guerra J, Velasquez L, Rubio-Clemente A et al. Results in Engineering[J],2024,22:102241
[68] Kurani A, Doshi P, Aarya V et al. Annals of Data Science[J],2023,10(1):183
(注,原文標題:高溫合金徑向鍛造工藝的研究進展_李澍)
相關鏈接
- 2026-04-22 長期高溫時效對標準熱處理GH4169鎳基高溫合金δ相析出及綜合力學性能的影響研究——以航空領域常用GH4169鎳基高溫合金為研究載體,采用真
- 2026-04-13 面向航空承力構件應用的Ti55531近β鈦合金相變行為及熱激活能研究——通過連續升溫熱膨脹試驗與多手段表征,明確相變序列及升溫速率對相變
- 2026-04-10 面向飛機液壓管路系統的TA18鈦合金管材熱處理工藝優化——以冷軋鈦管為對象,研究退火對組織回復、再結晶及徑向織構的影響,為航空鈦合金管
- 2026-03-28 面向航空發動機輕量化的SLM成形Ti150高溫鈦合金熱處理工藝優化研究——聚焦600℃高溫服役需求,優化固溶時效工藝參數,實現合金強塑性良好匹
- 2026-03-21 TC21鈦合金應變率相關拉伸性能、斷裂特征及變形機制綜合研究——系統分析靜動態加載下強度、塑性變化規律,結合斷口形貌與微觀組織演變,明
- 2026-03-01 面向核電燃料組件安全服役的鋯合金焊接技術體系構建及關鍵工藝優化——基于焊接性分析、界面改性處理與異種材料擴散連接技術的系統研究
- 2026-01-26 艦船耐壓部件用TA5鈦合金中厚板制備工藝優化及性能保障研究——系統探究近相變點軋制溫度變形量成品退火溫度對板材微觀組織、室溫拉伸性
- 2026-01-03 全溫度區間退火調控TA15鈦合金組織-性能關聯機制:斷口從韌性韌窩轉變為脆性解理特征,建立完整“退火工藝-相組成-力學性能”關系,填補β單相
- 2025-12-24 面向船舶海洋工程的Ti75鈦合金熱處理工藝優化研究——以模擬焊接熱影響區片層組織為對象,系統分析時效過程中α/α'相演變規律,揭示彌散強
- 2025-12-22 面向航空航天高損傷容限構件的TC18鈦合金β熱處理冷速優化研究——系統分析5~0.05℃.s?1冷速下組織演變,明確α集束形成與網籃結構構建

