隨著航空航天技術的不斷提高, 對生產制造航空器材料的要求越來越高, 鈦合金在航空航天中具有廣闊的使用前景[1] 。 國內關于 α+β 兩相鈦合金的研究較多, 而關于TA15鈦合金的研究相對較少,TA15鈦合金是一種應用十分廣泛的近α鈦合 金,它的強度、 熱穩性和抗蠕變性均很好, 還是重要的損傷容限型鈦合金[2] 。 合金成分會影響TA15鈦合金的力學性能, 研究發現, 合金中的主合金元素對合金性能的影響較大, 當初生α相的含量減少、 次生α相片層的寬度較細時, 合金的強度提高, 塑性下降[3-4] 。 在熱處理過程中引入 H 元素,TA15鈦合金中α相和β相的相對含量也會隨 H 含量的變化發生變化[5] 。 隨著退火溫度的不斷升高,TA15鈦合金晶粒的等軸化程度增大, 初生α相的含量逐漸減少[6] 。 通過退火、 固溶+時效和雙重熱處理等熱處理工藝可以優化TA15鈦合金的組織, 明顯提高合金的 力 學 性 能[7-9] 。 合適的形變工藝, 可以細化TA15鈦合金的晶粒, 提高其綜合性能[10-12] 。 對熱處理加工后的TA15鈦合金進行退火, 可以使 TA15鈦合金的力學性能獲得最佳匹配[13] 。 熱處理工藝不同,TA15鈦合金中初生α相的含量和形狀均會隨 之變化, 進而影響合金的塑性[14] 。 因此,TA15鈦合金需要經過一系列復雜的熱處理, 才能獲得組織均勻、 力學性能優異的半成品或零件, 所以對TA15鈦合金進行系統的熱處理工藝研究以及優化是非常必要的。

本文通過對鍛壓TA15鈦合金試樣進行700 ~820℃的退火處理, 研究初生α相和次生α相間的轉變規律, 根據熱處理后鍛壓TA15鈦合金的微觀組織和力學性能的變化情況, 分析得到具有最佳性能匹配的熱處理工藝。
1、試驗材料與方法
試驗所選取的材料為鍛壓TA15鈦合金棒材,它的名義成分為 Ti-6Al-2Zr-1Mo-1V。 該合金的實際化學成分如表 1 所示。

將鍛壓TA15鈦合金試樣棒材表面全部涂覆防氧化涂料后, 先在箱式電阻爐中進行退火處理, 再進行試樣棒材切割、 加工出標準試樣。 熱處理制度為 (700~820)℃×2 h, 空冷 (AC) (每隔 30℃設為一個熱處理制度)。 退火處理工藝如圖 1 所示。

不同溫度退火處理后的鍛壓TA15鈦合金試樣通過 UTM5350 電子萬能試驗機進行高溫和室溫的拉伸性能測試, 設備載荷范圍為 0~300 kN, 載荷精度為 0.5%, 加載速率為 0.5 mm·min-1。 拉伸試樣根據 ASTM E8/ E8M—2011[15] 標 準 制 備。 按 照 GB/ T229—2020[16] 要求, 在 JB-300 型擺錘式沖擊試驗機上進 行 沖 擊 試 驗。 采 用 U 形 缺 口 試 樣, 尺 寸 為10 mm×10 mm×55 mm。 分別測出不同熱處理條件下, 室溫時的抗拉強度 Rm、 屈服強度 ReL、 斷面收縮率 Z、 伸長率 A、 沖擊功 Aku。 鍛壓TA15鈦合金 高溫 (500℃) 拉伸試樣與室溫條件下的試樣相同,當設定溫度穩定后保溫 20 min 開始測試, 分別測出鍛壓TA15鈦合金高溫時的抗拉強度、 斷面收縮率與伸長率。 每種性能測試 3 組數據, 求平均值, 以減少試驗所帶來的誤差。
利用 OLYMPUS-GX51 型倒置式光學顯微鏡對熱處理后的鍛壓TA15鈦合金金相組織進行觀察, 顯微照片利用 Photo Shop 進行處理, 將初生α相進行涂黑處理, 處理后可觀察到相的組成情況。 通過顯微鏡自帶的 QLYCIA m3 軟件對處理后的金相組織進行分析, 統計顯微組織中各主要組成相的相對體積分數。 QLYCIA m3 金相分析系統可以利用數學、 光 學等技術理論, 對金相照片進行圖像分析、 面積形態分析和粒子計數分析等, 被廣泛應用于材料檢測等科學和工程研究, 為材料生產過程提供質量控制。
2、結果與討論
2.1 顯微組織分析
圖 2 為不同熱處理制度下鍛壓TA15鈦合金的金相組織, 初生α相為等軸狀, 次生α相為片層狀, 熱處理后等軸狀初生α相分布均勻。 圖 2a 為700℃退火后的顯微組織, 相組成主要為初生α相、部分次生α相、 還有少量基體β相, 初生α相所占比例最大; 圖 2b 和圖 2c 分別為 730 和 760℃退火后的顯微組織, 相組成包括初生α相和次生α相,初生α相占絕大部分, 但在 700℃ 退火后有所降低, 說明初生α相隨著溫度的升高逐漸減少, 次生α 相隨著溫度的升高逐漸增加; 圖 2d 和圖 2e 分別為 790 和 820℃退火后的顯微組織, 相組成包括初生α相和次生α相, 次生α相隨著溫度的升高逐漸增多, 初生α相的含量隨著退火溫度的升高而降低, 基體β相的含量變化不大。

通過觀察金相組織, 發現不同熱處理溫度的試樣中, 初生α相、 次生α相以及β相之間黏連在一起, 不便于統計組織中各相的相對含量。 利用 PhotoShop 軟件對顯微組織中的初生α相進行涂黑處理,其余為次生α相以及基體β相。 再通過 QLYCIA m3金相分析系統處理涂黑的組織, 對各相進行體積分數統計, 取 3 組數據求平均值, 得到各相的相對體積分數。 處理后的鍛壓TA15鈦合金金相組織如圖 3所示, 圖 3 中初生α相標注為深色, 其余為次生α相以及基體β相。

鍛壓TA15鈦合金的塑性由次生α相與初生α相決定。 提高初生α相的含量, 合金的塑性變大,提高次生α相的含量, 合金的塑性降低。 圖 4 為不同熱處理制度下鍛壓TA15鈦合金中初生α相、 次生α相的相對體積分數。 退火溫度為 700℃時, 初生α相的相對體積分數為 70.35%, 次生α相的相對體積分數為 3.84%。 退火溫度為 820℃時, 初生α相的相對體積分數為 46.94%, 次生α相的相對體積分數為18.26%。 隨著退火溫度的逐漸升高, 初生α相的含量逐漸降低, 次生α相的含量逐漸增加, 基體相的含量基本不變。

2.2 退火處理對鍛壓TA15鈦合金力學性能的影響
2.2.1 室溫力學性能測試
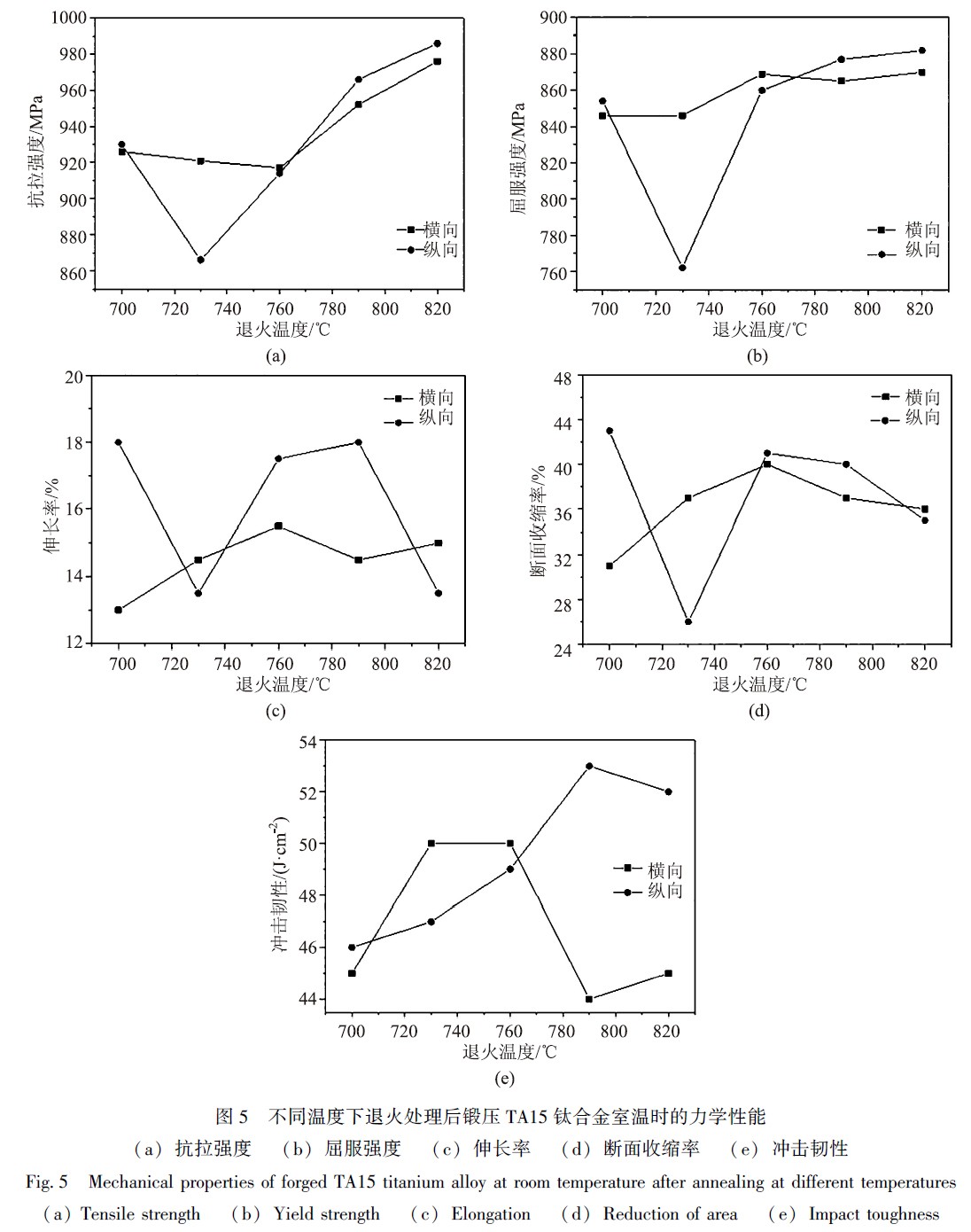
鍛壓TA15鈦合金退火處理后, 室溫條件下的力學性能如圖 5 所示。 圖 5a 為鍛壓TA15鈦合金抗拉強度的變化曲線, 隨著退火溫度的升高, 抗拉強度逐漸增大, 退火溫度為 820℃時, 不同取樣方向下的試樣的抗拉強度均達到最大值, 其中縱向抗拉強度達到 986 MPa; 圖 5b 為鍛壓TA15鈦合金屈服強度的變化曲線, 總體來說, 隨著退火溫度的升高,與抗拉強度的變化規律相似, 在 820℃時縱向屈服強度達到最大值 882 MPa; 圖 5c、 圖 5d 分別為鍛壓TA15鈦合金伸長率和斷面收縮率的變化曲線,隨退火溫度的升高, 相同取樣方向的力學性能的變化趨勢基本相同, 820℃ 退火的樣品, 其縱向伸長率為 13.5%; 圖 5e 為鍛壓TA15鈦合金沖擊韌性的變化曲線, 不同的取樣方向, 性能的變化規律也不同, 隨著退火溫度的升高, 橫向取樣時, 沖擊韌性呈“幾”字形變化; 縱向取樣時, 沖擊韌性在800℃時達到最大值后略有降低。

2.2.2 高溫力學性能測試
鍛壓TA15鈦合金退火處理后, 高溫 (500℃)力學性能如圖6 所示。 圖6a為鍛壓TA15鈦合金抗拉強度的變化規律, 橫向抗拉強度在 820℃時達到最大值; 圖6b為鍛壓TA15鈦合金伸長率的變化規律, 隨著退火溫度的升高, 橫向伸長率在760℃時達到最大值, 縱向伸長率在 820℃ 時達到最大值;圖 6c 為鍛壓TA15鈦合金斷面收縮率的變化規律,橫向斷面收縮率在760℃ 時達到最大值58%, 縱向斷面收縮率在820℃ 時達到最大值 63%。

2.3 退火處理后鍛壓TA15鈦合金的顯微組織與力學性能的關系
由以上結果可以看出, 鍛壓TA15鈦合金的顯微組織對熱處理工藝參數十分敏感, 采用不同的退火溫度可以得到不同的顯微組織, 而合金的力學性能又取決于合金組織中各組成相的形態、 相對體積分數和大小尺寸等因素。 鍛壓TA15鈦合金的顯微組織在 700~820℃的退火溫度范圍內, 金相組織主要包括初生α相、 次生α相以及基體β相。 隨著退火溫度的逐漸升高, 初生α相的含量減少, 次生α相的含量增多, 在 820℃ 時初生α相的含量最少,次生α相的含量最多, 基體β相的含量基本沒有變化。 退火后鍛壓TA15鈦合金的力學性能發生明顯變化, 隨著退火溫度的升高, 鍛壓TA15鈦合金的抗拉強度和屈服強度的變化趨勢基本一致, 在820℃ 時達到最大值; 伸長率、 斷面收縮率、 沖擊韌性隨著退火溫度的升高并未單調的下降, 在不同的退火溫度下也會出現最大值。 這是因為: 在雙態組織中, 隨著初生等軸α相的減少, β基體、 次生片層α相的相界面增多, 會使鈦合金的強度提高,伸長率降低, 而α相和原始β相晶粒尺寸的減小有利于提高鈦合金的塑性。 鍛壓TA15鈦合金在相變點溫度以下進行熱處理, 820℃ 時的組織和性能匹配最佳。
3、結論
(1) 鍛壓TA15鈦合金在 700~820℃退火處理后, 顯微組織中主要由初生等軸α相、 基體β相以及次生片層狀α相組成。
(2) 隨著退火溫度的升高, 初生α相的含量逐漸降低, 相對體積分數由 70.35%降至 46.42%, 次生α相的相對體積分數由 3.84%升高至 18.26%。
(3) 鍛壓TA15鈦合金的力學性能與取樣方向有關, 室溫和高溫 (500℃) 條件下的力學性能受不同熱處理制度的影響較大。 且隨著退火溫度的升高, 鍛壓TA15鈦合金強度先降低后升高, 塑性先增高后降低。
(4) 對比不同熱處理溫度下樣品的室溫和高溫(500℃) 條件下的拉伸性能, 在 820℃ 退火的樣品, 其抗拉強度最高為 986 MPa, 伸長率為 13.5%,強度和塑性匹配較好。
參考文獻:
[1] 陳國琳, 吳鵬煒, 王自 東.鈦 合 金 的 發 展 現 狀 及 應 用 前 景[J].艦船科學技術, 2009, 31 (12): 110-113.Chen G L, Wu P W, Wang Z D.The development prospect andcurrent status of titanium alloys [J].Ship Science and Technology,2009, 31 (12): 110-113.
[2] Qian G L, Song X Y, Ye W J, et al.Effects of ultrasonic impacttreatment on the residual stress and microstructure of TA15 weldedjoint [J].Materials Science Forum, 2017, 898 (13): 1056-1062.
[3] 隋楠, 曹京霞, 黃旭, 等.合 金 成 分 對 TA15 鈦 合 金 組 織及力學性能的影響 [J].航空材料學報, 2019, 39 (1):48-54.Sui N, Cao J X, Huang X, et al.Effect of composition on microstructure and mechanical properties of TA15 titanium alloy [J].Journal of Aeronautical Materials, 2019, 39 (1): 48-54.
[4] 史瑩瑩, 劉釗, 陳峰, 等.Φ1040 mm 規格TA15鈦合金鑄錠生產工藝研究 [J].世界有色金屬, 2018, 16 (23): 9-12.Shi Y Y, Liu Z, Chen F, et al.Preparation technology research of Φ1040 mm TA15 titanium alloy ingot [J].World Nonferrous Metals, 2018, 16 (23): 9-12.
[5] 梁培新, 朱衛東, 楊剛, 等.滲氫工藝對TA15鈦合金氫含量和顯微組織的影響 [J].鍛 壓 技 術, 2020, 45 (8): 190-194.Liang P X, Zhu W D, Yang G, et al.Influence of hydrogen permeation process on hydrogen content and microstructure of TA15 titanium alloy [ J].Forging & Stamping Technology, 2020, 45 (8): 190-194.
[6] 侯艷榮, 賴運金, 杜予晅, 等.熱處理對TA15鈦合金棒材沖擊性能的影響 [J].熱加工工藝, 2011, 40 (2): 182-183.Hou Y R, Lai Y J, Du Y X, et al.Effect of heat treatment process on impact property of TA15 alloy [J].Hot Working Technology,2011, 40 (2): 182-183.
[7] 盧凱凱, 周立鵬, 段啟輝, 等.熱處理工藝對TA15鈦合金棒材組織和 性 能 的 影 響 [J].鈦 工 業 進 展, 2018, 35 (4):35-39.Lu K K, Zhou L P, Duan Q H, et al.Effect of heat treatment procss on microstructure and mechanical properties of TA15 titaniumalloy bars [J].Titanium Industry Progress, 2018, 35 (4):35-39.
[8] 盧凱凱, 周立鵬, 李敏娜, 等.強韌化熱處理對TA15鈦合金組織和性能的影響 [J].材料熱處理學報, 2020, 41 (1):44-49.Lu K K, Zhou L P, Li M N, et al.Effect of strengthening and toughening heat treatment on microstructure and mechanical properties of TA15 titanium alloy [ J].Transactions of Materials and Heat Treatment, 2020, 41 (1): 44-49.
[9]劉航, 李偉, 張鏡斌.TA15 鈦合金雙重熱處理三態組織中的片層α尺寸研究 [J].熱加工工藝, 2021, 50 (14): 142-145, 149.Liu H, Li W, Zhang J B.Study on size of lamellarαin tri-modalmicrostructure of TA15 Ti-alloy during dual heat treatment [J].Hot Working Technology, 2021, 50 (14): 142-145, 149.
[10] 檀雯, 都海剛, 楊軍, 等.TA15 鈦合金厚板熱軋變形規律研究 [J].有色金屬材料與工程, 2020, 41 (4): 17-23.Tan W, Du H G, Yang J, et al.Study on deformation echanisms of TA15 titanium alloy plate during hot rolling [J].NonferrousMetal Materials and Engineering, 2020, 41 (4): 17-23.
[11] 紀小虎, 李萍, 時迎賓, 等.TA15 鈦合金等溫多向鍛造晶粒細化機理與力學性能 [J].中國有色金屬學報, 2019, 29(11): 2515-2523.Ji X H, Li P, Shi Y B, et al.Grain refinement mechanism and mechanical properties of TA15 alloy during multi-directional isothermal forging [J].The Chinese Journal of Nonferrous Metals, 2019, 29 (11): 2515-2523.
[12] 李建偉, 劉瀏, 鄒宗樹.不同等溫鍛TA15鈦合金試驗件的組織與力學性能研究 [J].熱加工工藝, 2019, 48 (1): 151-157.Li J W, Liu L, Zou Z S.Study of microstructure and mechanicalproperties of TA15 titanium alloy test parts with different isothermal forging processes [ J ].Hot Working Technology, 2019, 48 (1): 151-157.
[13] 謝英杰, 付文杰, 王蕊寧, 等.熱處理對TA15鈦合金中厚板材組織及力學性能的影響 [J].鈦工業進展, 2013, 30 (6):26-29.Xie Y J, Fu W J, Wang R N, et al.Effect of heat treatment onmicrostructure and mechanical properties of TA15 plats [J].Titanium Industry Progress, 2013, 30 (6): 26-29.
[14] 尤中源, 劉文言, 陳榮, 等.α 相含量對新型亞穩 β 鈦合金動態力學性能的影響 [J].稀有金屬, 2021, 45 (7): 891-896.You Z Y, Liu W Y, Chen R, et al.Dynamic mechanical propertiesof new type of metastable titanium alloy with differentαphase content [J].Chinese Journal of Rare Metals, 2021, 45 (7):891-896.
[15] ASTM E8/ E8M—2011, 金屬材料拉伸試驗方法 [S].ASTM E8/ E8M—2011, Standard test methods for tension testingof metallic materials [S].
[16] GB/ T 229—2020, 金屬材料夏比擺錘沖擊試驗方法 [S].GB/ T 229—2020, Metallic materials Charpy pendulum impact testmethod [S].
相關鏈接
- 2022-12-22 現貨供應航空石油艦船用TC4鈦板 鈦合金棒 鈦合金葉輪
- 2022-11-13 利泰金屬定制鈦合金棒 鈦板 TA9鈦棒 規格全 廠家按圖生產
- 2022-11-08 現貨供應TC4鈦合金板 鈦合金棒 鈦合金管
- 2022-10-19 增材制造制粉用鈦及鈦合金棒材國家標準 GB∕T 38973-2020
- 2022-10-04 利泰金屬定制鈦合金棒 TC4鈦棒 TC4鈦鍛件 材質保證 廠家直銷
- 2022-09-21 鈦鍛件鈦棒等鈦合金材料在餐具及健康領域的應用
- 2022-09-09 利泰金屬現貨供應石油用高強度TC11鈦合金棒 TC6鈦棒 TC11鈦棒
- 2022-09-08 利泰金屬談鈦合金棒鈦鍛件等鈦合金的耐腐蝕特點及應用
- 2022-09-07 鈦合金鍛件鈦合金棒加工方法的多樣性
- 2022-08-30 批量定制TC4鈦合金鍛件 TC4鈦棒 TC4鈦合金材料

